Σταθερές οι προσφυγικές ροές – Πώς κατανέμονται στη χώρα (πίνακας)
Σε 57.045 παραμένει ο αριθμός των προσφύγων που βρίσκονται ανά την επικράτεια, σύμφωνα με τα τελευταία, σημερινά, στοιχεία του Συντονιστικού για τη διαχείριση της προσφυγικής κρίσης.
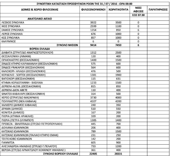
Εντός δομών φιλοξενίας βρίσκονται: 9.414 στα νησιά του ανατολικού Αιγαίου, 22.405 στη βόρεια Ελλάδα, 2.297 στην κεντρική Ελλάδα, 10.205 στην Αττική, 252 στη νότια Ελλάδα. Σε θέσεις φιλοξενίας της Ύπατης Αρμοστείας του ΟΗΕ για τους πρόσφυγες διαμένουν 7.252.
Εκτός οργανωμένων δομών φιλοξενίας εκτιμάται ότι διαμένουν 2.150.
Δείτε τους επικαιροποιημένους πίνακες του Συντονιστικού Οργάνου της κυβέρνησης:



Προτεινόμενα άρθρα
11.04.2026 | 23:30
11.04.2026 | 20:59
11.04.2026 | 19:56






