ΥΠΟΥΡΓΕΙΑ |
10.11.2016 | 10:21
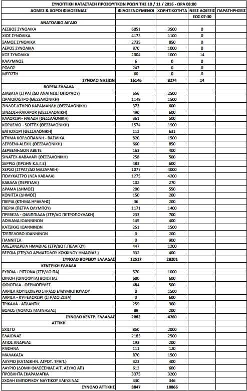
Στους 61.622 έφτασαν οι πρόσφυγες-πως κατανέμονται (πίνακας)
Στους 61.622 ανέρχονται συνολικά οι πρόσφυγες που έχουν βρει καταφύγιο στη χώρα. Σύμφωνα με τα επικαιροποιημένα στοιχεία του αρμόδιου συντονιστικού οργάνου της κυβέρνησης, καταγράφηκαν τις τελευταίες ώρες 14 νέες αφίξεις στην Κω .
Αναλυτικότερα το σύνολο των στοιχείων:


Tags:
Προτεινόμενα άρθρα
25.04.2026 | 14:57





